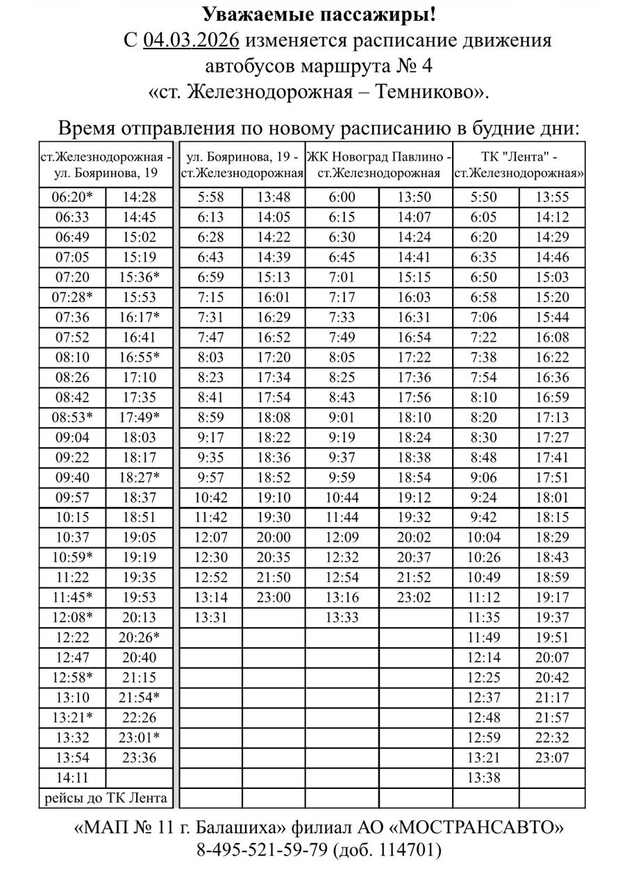
Маршрут № 4 продлили до ЖК «Новоград Павлино» в Балашихе
По просьбам жителей Балашихи маршрут № 4 (МЦД Железнодорожная – ТЦ Лента) продлили до ЖК «Новоград Павлино». На данном маршруте будет задействовано шесть автобусов малого класса.
Первый рейс по будням будет отправляться в 05:58, последний – в 23:00. В праздничные и выходные дни первый рейс будет осуществляться в 05:49, а последний – в 22:38.
Данное расписание и класс обслуживания транспортного средства маршрута является временным и будет пересмотрено в зависимости от изменения пассажиропотока.































































